CoolSiC MOSFET G2 1200V系列产品是英飞凌最新推出的SiC MOSFET产品,均采用了扩散焊工艺(.XT) 来降低结壳热阻。TO247封装器件的导通电阻从7mΩ到78mΩ。产品系列如下:

上表给出了G1与G2建议的替代关系。比如G1 IMZA120R040M1H同G2 IMZC120R034M2H和IMZA120R034M2H处在同一行,可以相互替换。为了兼容G1以及更大爬电的需求,推出了2种封装,分别是IMZC和IMZA,实物图如下:

IMZC package

IMZA package
CoolSiC MOSFET G2 1200V系列对比G1,有着更低的开关损耗和改善的热性能,同时,有着更宽的门极Vgs电压耐受范围,正压从G1的最大+23V,提升到G2的最大+25V,负压维持最小-10V不变。对比G1,G2的成本会更低,性能会更好。下面我们将就不同应用,分析G2对效率及结温的改善。
CoolSiC MOSFET G2
提升硬开关应用效率
在Solar和ESS应用中,使用1200V SiC MOSFET 替代1200V IGBT,可以带来损耗的降低以及散热系统体积的下降。
在下图的新能源系统中,DC/DC MPPT,DCDC buck/boost和DC/AC inverter这些硬开关应用场合均可使用CoolSiC MOSFET G2提升效率。

CoolSiC MOSFET G2在Boost拓扑中的性能

工作条件:

仿真结果:

我们先按照固定环境温度50°C,散热片到环境的热阻1K/W进行计算。在上述工作条件下,G2 IMZC120R026M2H的总损耗对比G1 IMZA120R030M1H下降了8%,结温下降了6°C。在固定散热片温度85°C的条件下,G2 IMZC120R026M2H的总损耗对比G1 IMZA120R030M1H下降了6%,结温下降了2°C。
CoolSiC MOSFET G2在同步整流Boost拓扑中的性能

工作条件:

仿真结果:


低边开关管在不同死区条件下的损耗和结温对比


高边开关管(同步整流)在不同死区条件下的损耗和结温对比
从上述结果看,使用G2 IMZC120R034M2H替代G1 IMZA120R040M1H,可以得到更低的损耗,并且降低器件的温度。具体如下,死区时间200ns条件下,低边开关管使用G2 IMZC120R034M2H可以比G1 IMZA120R040M1H温度低8°C,高边开关管(同步整流)使用G2 IMZC120R034M2H可以比G1 IMZA120R040M1H温度低7°C。如果死区时间是500ns,使用同型号的G2和G1对比,低边和高边的G2较G1结温低8°C和9°C。
CoolSiC MOSFET G2在同步整流Buck拓扑中的性能

工作条件:

仿真结果:


低边开关管(同步整流)在不同死区条件下的损耗和结温对比


高边开关管在不同死区条件下的损耗和结温对比
从上述结果看,使用G2 IMZC120R034M2H替代G1 IMZA120R040M1H,可以得到更低的损耗,并且降低器件的温度。具体如下,死区时间200ns条件下,高边开关管使用G2 IMZC120R034M2H可以比G1 IMZA120R040M1H温度低8°C,低边开关管(同步整流)使用G2 IMZC120R034M2H可以比G1 IMZA120R040M1H温度低6°C。如果死区时间是500ns,使用同型号的G2和G1对比,高边和低边管分别差10°C和4°C。
CoolSiC MOSFET G2在Buck-Boost拓扑中的性能

仿真条件:

仿真结果:
从结果看,使用G2 IMZC120R034M2H / IMZC120R026M2H分别替代G1 IMZA120R040M1H / IMZC120R030M1H均可以得到更低的损耗和结温。

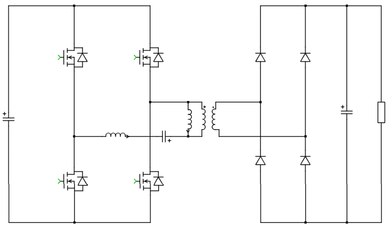
Boost/放电模式

Buck/充电模式
CoolSiC MOSFET G2在两电平逆变器拓扑中的性能

仿真条件:

仿真结果:

从上述结果看,使用G2 IMZC120R034M2H替代G1 IMZA120R040M1H,可以降低10%的损耗,并且每个器件的温度可以降低4°C。
CoolSiC MOSFET G2
在软开关应用中的使用
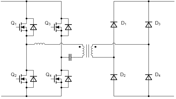
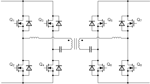
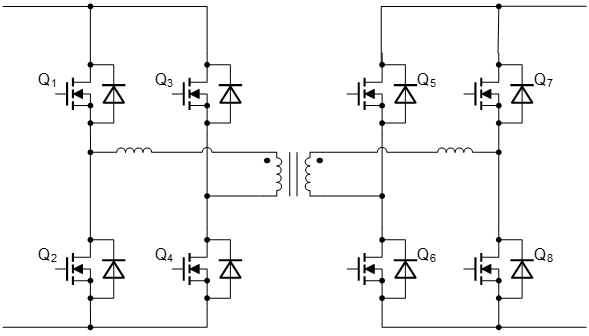
常用软开关DC/DC拓扑有LLC,CLLC,DAB:

LLC

CLLC

DAB
CoolSiC G2凭借先进的器件设计,所有优值FOM全方面领先。

RDSONx QGD(mΩ*µC)

RDSONx QOSS(mΩ*µC)

RDSONx EOSS(mΩ*µJ)

RDSx QG(mΩ*µC)
这些优值对应在不同应用场合的性能。其中,RDSONx QGD越小在硬开关应用中性能越好,RDSONx QOSS越小在软开关应用中性能越好,RDSONx EOSS越小在轻载应用中性能越好,RDSx QG越小,表示需要的门极功耗越小。

RDSON在DCDC软开关应用中是一个关键因素。CoolSiC MOSFET G2 的RDSON对温度的曲线对比G1有一个更大的变化系数,原因是RDSON的重要组成部分RDRIFT在沟槽MOSFET中占比较高,而RDRIFT对于温度变化更加敏感,使得RDSON在高温时增加较大。所以我们建议在软开关应用当中使用G2 34mΩ(IMZC120R034M2H / IMZA120R034M2H)来替代G1 40mΩ (IMZA120R040M1H)。
软开关仿真

仿真条件:

仿真结果:

使用G2 IMZC120R034M2H替代G1 IMZA120R040M1H,结温下降1°C,总损耗基本不变。使用G2 IMZC120R026M2H替代G1 IMZA120R030M1H,结温下降3°C,总损耗下降2.5W。
CoolSiC MOSFET G2
在应用中的设计建议
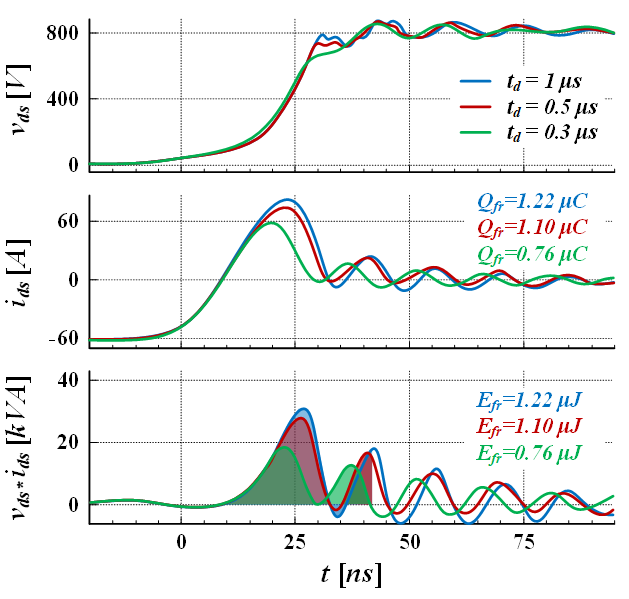
建议使用小于500ns的死区时间
SiC MOSFET的体二极管压降VSD(Vf,Vgs≤0V)对比沟道压降(Vgs≥15V)要高很多,减少死区时间,可以有效降低这部分导通损耗。同时,右图也显示,更小的死区时间,体二极管的反向恢复损耗也会更小。


建议使用小的驱动电阻来减小开关损耗
从下图不同驱动电阻下的开通和关断波形看,小的驱动电阻可以明显减小开关损耗。


推荐使用-5V做为关断Vgs,减小开关损耗
从下图实测数据看,对比Vgs18/0V和18/-5V,-5V做为关断电压Vgs,在大电流时,可以明显降低Eoff关断损耗,也可以降低一些Eon开通损耗。

综上所述,CoolSiC MOSFET G2通过改善设计,具有更低的单位面积电阻与开关损耗,有助于降低系统损耗与芯片结温。为充分发挥G2的优势,使用同步整流并缩小死区时间,使用尽可能低的门极电阻,并且使用负压关断,是减小损耗、提升效率的关键。
-
英飞凌
+关注
关注
68文章
2564浏览量
143179 -
MOSFET
+关注
关注
151文章
10829浏览量
234997 -
SiC
+关注
关注
32文章
3870浏览量
70152
发布评论请先 登录
新品 | 采用高爬电距离TO-247-4引脚封装的CoolSiC™ 1400V MOSFET G2
EVAL-COOLSIC-2kVHCC评估板:2000V CoolSiC™ MOSFET的理想测试平台
Infineon HybridPACK™ Drive G2:牵引逆变器的卓越之选
CoolSiC™ 1400 V SiC MOSFET G2:高性能碳化硅MOSFET的卓越之选
探索IMYR140R008M2H CoolSiC™ 1400 V SiC MOSFET G2:高性能与多功能的完美结合
英飞凌推出专为高功率与计算密集型应用而设计的400V和440V MOSFET
CoolSiC™ MOSFET G2导通特性深度解析:高效选型指南
英飞凌CoolSiC™ MOSFET Gen2:性能全面升级,工业应用的理想选择!
英飞凌推出具有超低导通电阻的CoolSiC™ MOSFET 750 V G2,适用于汽车和工业功率电子应用
CoolSiC™ MOSFET G2如何正确选型
英飞凌新一代750V SiC MOSFET产品亮点
新品 | 采用顶部散热 Q-DPAK封装的 CoolSiC™ 1200V G2 SiC MOSFET
新品 | 采用顶部散热QDPAK的CoolSiC™ 1200V G2 SiC MOSFET半桥产品
如何应用英飞凌新一代G2 CoolSiC™ MOSFET 提升系统效率
评论